首页
公司简介
产品中心
服务内容
联系我们
服务内容
联系我们
没有结果
查看所有结果
✕
没有结果
查看所有结果
产品分类
2025年12月23日
土木香内酯
Alantolactone 【分子式】C15H20O
[…]
2025年12月23日
染料木苷
Genistin 【分子式】C21H20O10 【分
[…]
2025年12月23日
薯蓣皂苷
Dioscin 【分子式】C45H72O16 【分子
[…]
2025年12月23日
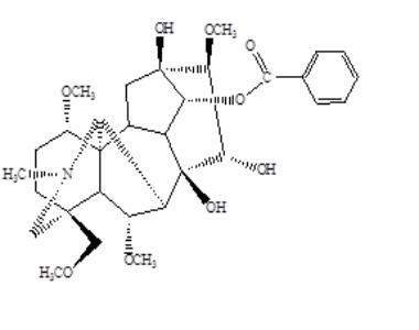
苯甲酰次乌头原碱
Benzoylhypaconine 【分子式】C31
[…]
2025年12月23日
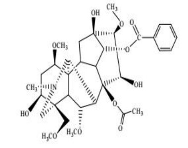
苯甲酰乌头原碱
Benzoylaconine 【 分子式】C32H4
[…]
2025年12月23日
苯甲酰新乌头原碱
Benzoylmesaconine 【分子式】C31
[…]
2025年12月23日
次乌头碱
Hypaconitine 【 分子式】C33H45N
[…]
2025年12月23日
新乌头碱
Mesaconitine 【分子式】 C33H45N
[…]
2025年12月23日
宋果灵
Songorine 【分子式】C22H31NO3 【
[…]
上一页
1
2
3
4
5
6
7
8
9
10
11
12
13
14
15
16
下一页