首页
公司简介
产品中心
服务内容
联系我们
服务内容
联系我们
没有结果
查看所有结果
✕
没有结果
查看所有结果
产品分类
2025年12月31日
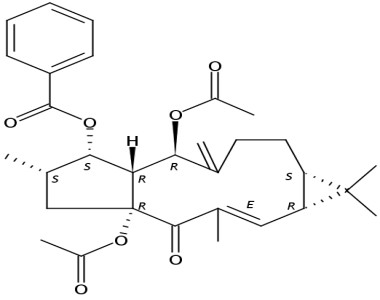
千金子素L2
Euphorbia Factor L2 【分子式】
[…]
2025年12月31日
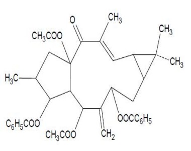
千金子素L3
Euphorbia Factor L3 【分子式】
[…]
2025年12月31日
大豆苷
Daidzin 【分子式】 C21H20O9 【分子
[…]
2025年12月31日
川陈皮素
Nobiletin 【 分子式】C21H22O8 【
[…]
2025年12月31日
橘皮素(桔红素)
Tangeritin 【分子式】C20H20O7 【
[…]
2025年12月31日
1,4-二[4-(葡萄糖氧)苄基]-2-异丁基苹果酸酯
Militarine 【分子式】C34H46O17
[…]
2025年12月31日
母丁香酚
Bancroftinone 【分子式】C11H14O
[…]
2025年12月31日
大豆苷元
Daidzein 【分子式】C15H10O4 【分子
[…]
2025年12月31日
11-羰基-β-乙酰乳香酸
Acetyl-11-keto-β -boswelli
[…]
上一页
1
2
3
4
5
6
7
8
9
10
11
12
13
14
15
16
下一页