首页
公司简介
产品中心
服务内容
联系我们
服务内容
联系我们
没有结果
查看所有结果
✕
没有结果
查看所有结果
其它类化合物单体
2019年7月2日
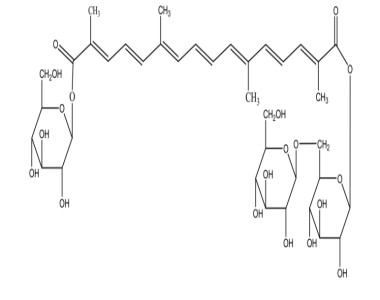
罗汉果苷V
Mogroside V 【分子式】C60H102O2
[…]
2025年12月2日
牡荆素葡萄糖苷
Glucosylvitexin 【分子式】C27H3
[…]
2025年12月2日
牡荆素鼠李糖苷
Rhamnosylvitexin 【分子式】C27H
[…]
2025年12月2日
牡荆素(牡荆苷)
Viterxin 【分子式】C21H20O10 【分
[…]
2025年12月2日
凤仙萜四醇苷K
Hosenkoside K
[…]
2025年12月2日
凤仙萜四醇苷A
Hosenkoside A 【分子式】C48H82O
[…]
2025年12月2日
3,6′-二芥子酰基蔗糖
3,6´-Disinapoyl sucrose 【分
[…]
2025年12月2日
西红花苷II
Crocin-II 【分子式】C38H54O19 【
[…]
2025年12月2日
西红花苷I
Crocin-I 【分子式】C44H64O24 【分
[…]
1
2
3
4
5
6
7
8
9
10
11
下一页